西政資本--西政地產、金融圈校友傾心打造的地產、資本運作平臺,為您提供最全面、最專業的地產、金融知識及實操干貨!微信公眾號ID:xizheng_ziben
作者:王彬
來源:負險不彬(ID:fuxianbubin)
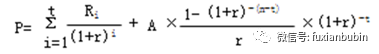
收益法是指通過估測被評估資產未來預期收益的現值,來估算資產價值的各種評估技術方法的總稱,該方法采用資本或或折現的途徑及其方法來判斷和估算資產價值。該評估思路是任何一個理智的投資者在購置或投資某一項資產時,所愿意支付或投資的貨幣數額不會高于所購置或投資的資產在未來能給其帶來的回報。收益法利用投資匯報和收益折現等技術,把評估對象的預期獲利能力和獲利風險作為兩個相輔相成的關鍵指標來估測評估對象的價值,該方法用數學式可以表示為:

式中:P表示評估價值;Ri表示未來第i年的預期效益;r表示折現率;n表示收益年限;i表示年序號。上式用圖示表示為:

一、收益法的適用范圍
因為收益法的使用涉及到三個基本要素,分別為被評估資產的預期收益、折現率或資本化率、被評估資產取得預期收益的持續時間。因此,應用收益法必須具備的三個前提條件,即未來預期收益可以被預測并可以用貨幣來衡量;獲得預期收益所承擔的風險可以被預測并可以用貨幣來衡量;預期獲利年限可以被預測。
二、收益法的基本步驟和基本參數
(一)收益法的基本步驟
從收益法的概念可以發現,資產未來的預期收益和風險的量化是收益法應用的主要工作,因此,收益法的工作環節應做如下安排:一是搜集或驗證與評估對象未來預期收益有關的數據資料,包括但不限于資產配置、生產能力、資金條件、經營前景、產品結構、銷售狀況、歷史和未來的財務狀況、市場形勢和產品競爭、行業水平、所在地區收益狀況及經營風險等;二是分析測算被評估資產的未來預期收益;三是分析測算折現率或資本化率;四是分析測算被評估資產預期收益持續的時間;五是用折現率或資本化率將評估對象的未來預期收益折算成現值;六是分析確定評估結果。
(二)收益法的主要參數
運用收益法進行評估涉及許多經濟技術參數,最為核心的包括收益額、折現率和收益期限三項。
1、收益額
資產評估中,資產的收益額是指根據投資回報的原理,資產在正常情形下所能得到的歸其產權主體的所得額。收益額是資產未來預期收益額,而不是資產的歷史收益額或現實收益額;用于資產評估的收益額是資產的客觀收益。一般而言,資產預期收益類型主要包括凈利潤、凈現金流量、利潤總額。其中,前兩者均屬于稅后凈收益,為資產持有者收益。二者之間的關系為:凈現金流量=凈利潤+折舊-追加投資(包括資本性支出和營運資金追加投資)。因為凈現金流量是按照收付實現制確定的,凈現金流更適合做預期收益指標,一方面凈現金流量能夠更準確的反映資產的預期收益。凈現金流量包含了計算凈利潤扣除的折舊和攤銷等非現金性支出,反映了當期企業可自主支配的實際現金凈流量。折舊和攤銷是會計上對企業已發生資本性支出的回收安排,作為非付現項目歸集在企業的成本費用之中,但其抵減的收入實際上已經歸入企業,并成為企業可以自主支配的現金,將其作為企業預期收益的一部分具有合理性;另一方面,凈現金流量體現了資金的時間價值,不僅是對數量的描述,而且與發生的時間密不可分。
預測未來收益的方法業界通用的是時間序列法,因素分析法。其中,時間序列法是建立資產以往收益的時間序列方程(根據歷史數據,用回歸分析的統計方法獲得),然后假定該時間序列將會持續。因此主要適用于資產的收益隨著時間的推移,呈現出平穩增長趨勢(評估基準日前后均保持這一趨勢)。因素分析法則是一種間接預測收益的方法,需要首先確定影響一項資產收入和支出的具體因素,然后建立收益與這些因素之間的數量關系,同時對因素未來可能的變動趨勢進行預測,最終估算出基于這些因素的未來收益水平。
2、折現率
折現率是一種期望投資報酬率,是投資者在投資風險一定的情形下,對投資所期望的回報率。折現率由無風險報酬率和風險報酬率組成,其中無風險報酬率又稱安全利率,是沒有投資限制和障礙,任何投資者都可以投資并能夠獲得的投資報酬率,在實踐中常參考同期政府債券收益率。風險報酬率是對風險投資的一種補償,在數量上超過無風險報酬率之上的,統籌行業風險、經營風險、財務風險和其他風險基礎上的投資回報率。確定折現率的方法主要有加和法、資本成本加權法、市場法等。
(1)加和法
加和法就是以折現率包含的無風險報酬率和風險報酬率兩部分分別求得數值,然后匯總加和,即折現率=無風險報酬率+風險報酬率。其中,無風險報酬率大多使用較長期的政府債券收益率(1年或1年以上)作為基本收益率。在實務中,具體采用的政府債券收益期間,應與評估對象的預期收益期間相匹配。而風險報酬率則要充分考慮市場風險(包括但不限于行業的總體狀況、宏觀經濟狀況、資本市場狀況、地區經濟狀況、市場競爭狀況、法律法規約束、國家產業政策等);與被評估資產相聯系的風險(主要包括但不限于產品或服務的類型、企業規模、財務狀況、管理水平、資產狀況、收益數量和質量、區位因素等)。
(2)資本資產定價模型(capital asset pricing model,即CAPM)
資本資產定價模型是通過β系數來量化折現率中的風險報酬率部分的常用方法。計算公式為:Ri=Rf+β(Rm-Rf)
其中,R代表被評估企業所在行業(或自身)的投資報酬率;Rm代表市場平均收益率;Rf代表無風險報酬率;β代表風險系數。其中Rf所代表的無風險報酬率,沒有投資違約風險。這一點通常只有主權國家的政府信用才可以保證;在特定的時間內,完成投資和再投資可以確定,這一數值通常取我國中長期國債的到期收益率平均值。(Rm-Rf)表示市場平均風險報酬率,又稱為系統性市場風險。它的本質是進行股權投資預期獲得的超過無風險的收益率,也可以用ERP(股權超額風險回報率)來表示。β系數的確定則主要適用于股權被頻繁交易的上市公司的評估。對于非上市公司來說,可以參照上市公司中情形相似的公司的β系數來確定自己的β系數,或者先確定公司所在的行業的β系數,計算行業風險報酬率。β系數是通過對單只股票價格變動和到變動的歷史數據統計分析得出,是股票與大盤之間聯動性的表現,所反映的是某一只股票的股價變動相對于大盤的表現情形,體現其收益變化幅度相對于大盤的變化幅度。絕對值越小,顯示其變化幅度相對于大盤而言越小,如果是負值,表明其與大盤呈相反方向變動,體現該股票與投資風險與大盤呈現負相關性。實際中,一般用單只股票資產的歷史收益率對同期大盤指數收益率進行回歸,回歸系數就是β系數。
盡管當前實務中多采用單只股票歷史數據得出β系數,但作為未來預期收益的折現率計算指標之一,它所反映的應當是未來的變動情形。因此,不應當簡單地直接使用歷史β系數,而應該在充分分析被評估企業當前及未來發展狀況的情形下,對其歷史的β系數調整為能夠反映未來情形的值,從而更為貼切地反映未來收益風險的變化情形。
(3)資本成本加權法
資本成本加權法是以企業的各種資本在企業全部資本中所占的比重為權數,對各種長期資金的資本成本加權平均計算出來的資本總成本。把資產視作投入資金總額,即構成一個持續經營的所有有形資產和無形資產減去流動負債的凈額,那么企業資產可以理解為長期負債與所有者權益之和。
資產=長期負債+所有者權益
折現率=長期負債占資產總額的比重×長期負債利息率×(1-所得稅率)+所有者權益占資產總額的比重×投資報酬率
其中,投資報酬率=無風險報酬率+風險報酬率,在企業價值評估中一般使用股權資本報酬率。
(4)市場法
市場法是通過尋找與被評估資產相類似的資產的市場價格以及該資產的收益來倒求折現率,而不像加和法那樣由折現率的各組成部分相加得出。

被評估資產的折現率=(∑樣本資產的收益/樣本資產價格)/n
其中,樣本資產是指與被評估資產在行業、銷售類型、收益水平、風險程度、流動性等方面相類似的資產。該方法的選取要是具體評估對象而定。
3、收益期限
收益期限是指資產具有獲利能力并產生資產凈收益的持續時間。通常以年為單位,由評估專業人員根據被評估資產自身效能、資產未來獲利能力、資產損耗等情形及相關條件及有關法律、法規、契約、合同等加以確定。具體分為有限期和無限期(永續)。其中,無限期(永續)是如無特殊情形,資產使用比較正常且沒有對資產的使用年限進行限定,或者這種限定是可以解除的,并可以通過延續方式永續使用,則可假定收益期為無限期。有限期則是收益期限受到法律、合同等規定的限制,則應以法律或合同規定的年限作為收益期。資產沒有規定收益期限的,可按其正常的經濟壽命確定收益期,即資產能夠給其擁有者帶來最大收益的年限。
收益增長模型主要包括兩階段增長模型、三階段增長模型和永續增長模型三種,其中兩階段增長模型中,第一階段為觀測期(3-5年)。其增長率高于第二個階段的增長率;第二階段被稱為永續增長階段,增長率為正常穩定的增長率,是對觀測期以外時間跨度的年均復合增長率預期。這兩個階段的劃分通常以企業預期達到穩定的年份為標準。三階段增長模型系由Sherman Chattiner等于1965年在《普通股定價—原則、目錄和應用》中提出,主要區分如下幾個階段,第一階段是成長階段,由于生產新產品并擴大市場份額,公司取得快速的收益增長。第二階段是過渡階段,公司的收益開始成熟并且作為整體的經濟增長率開始減速,在這一點上,公司處于成熟階段,公司收入繼續以整體經濟的速度增長。第三階段是超常階段假設紅利的增長率為常數。永續增長模型則是將未來收益的增長率假設為一個確定的值,通常被用于較為成熟的公司價值評估。
三、收益法的主要技術方法
收益法實際上是在預期收益還原思路下若干具體方法的集合。收益法中的具體方法可以分為若干類,一是針對評估對象未來預期收益有無限期的情形劃分,二是針對評估對象預期收益額的情形劃分,可分為等額收益評估方法、非等額收益評估方法等。

上述公式在凈收益不變、凈收益在若干年后保持不變、凈收益按等差級數變化、凈收益按等比級數變化等不同情形中,會發生不同變形:
(一)凈收益不變

一是在收益永續,各因素不變的條件下,其計算公式為:
P=A/r
其成立條件是:凈收益每年不變;資本化率固定且大于零;收益年期無限。
二是在收益年期有限,折現率等于零的條件下,其計算公式為:
P=A×n
其成立條件是:凈收益每年不變;收益年期有限為n;折現率為零。
三是在在收益年期有限,折現率大于零的條件下,其計算公式為:

如被評估資產為某一服裝品牌的特許經營權。根據許可方與被許可方所簽訂的合同,在評估基準日,該品牌的尚可使用年限為5年。根據以往的經營數據和市場對該品牌的認可程度,預計其未來年收益將會維持在200萬元。折現率假定為15%,則該品牌的特許經營權價值為:

(二)凈收益在若干年后保持不變
1、無限年期收益
其基本公式為:

其成立要滿足四個條件,一是凈收益在n年(含第n年)以前有變化;二是凈收益在n年(不含第n年)以后保持不變;三是收益年期無限;四是r大于零。公式解析如下:

2、有限年限收益
其基本公式為:

其成立應滿足的條件是凈收益在t年(含第t年)以前有變化;凈收益在t年(不含第t年)以后保持不變;收益年期有限為n;r大于零。
(三)凈收益按等差級數變化
1、在凈收益按等差級數遞增,收益年期無限的條件下,其計算公式為:
P=A/r+B/r2
公式推導過程如下:

其成立條件一是凈收益按等差級數遞增;二是凈收益逐年遞增額為B;三是收益年期無限;四是r大于零。
2、在凈收益按等差級數遞增,收益年期有限的條件下,其計算公式為:

其成立條件一是凈收益按等差級數遞增;二是凈收益逐年遞增額為B;三是收益年期有限為n;四是r大于零。
3、在凈收益按等差級數遞減,收益年期無限的條件下,其計算公式為:

其成立條件一是凈收益按等差級數遞減;二是凈收益逐年遞減額為B;三是收益年期無限;四是r大于零;五是收益遞減到零為止。但在實操層面,資產產權主體會根據替代原則,在資產收益遞減為零之前停止使用該資產或變現資產,不會無限制地永續使用下去。
4、在凈收益按等差級數遞減,收益年期有限的條件下,其計算公式如下:

其成立條件一是凈收益按等差級數遞減;二是凈收益逐年遞減額為B;三是收益年期有限為n;四是r大于零。
(四)凈收益按等比級數變化
1、在凈收益按等比級數遞增,收益年期無限的條件下,其計算公式為:

其成立條件一是凈收益按等比級數遞增;二是凈收益逐年遞增比率為s;三是收益年期無限;四是r大于零;五是r>s>0。
2、在凈收益按等比級數遞增,收益年期有限的條件下,其計算公式為:

其成立條件一是凈收益按等比級數遞增;二是凈收益逐年遞增比率為s;三是收益年期有限;四是r大于零;五是r>s>0。
3、在凈收益按等比級數遞減,收益年期無限的條件下,其計算公式為:

其成立條件一是凈收益按等比級數遞減;二是凈收益逐年遞減比率為S;三是收益年期無限;四是r大于零;五是r>s>0。
4、在凈收益按等比級數遞減,收益年期有限的條件下,其公式如下:

其成立條件一是凈收益按等比級數遞減;二是凈收益逐年遞減比率為s;三是收益年期有限為n;四是r大于零;五是0<s≤1。
5、已知未來若干年后資產價格的條件下,其計算公式為:

可以其成立條件一是凈收益在第n年(含n年)前保持不變;二是預知第n年的價格為Pn;三是r大于零。
四、收益法的適用范圍和局限性
(一)收益法評估的適用范圍
單項資產上主要適用于無形資產(專利或專有技術、商標、著作權、客戶關系、特許經營權等);房地產(既有收益性的房產類別,比如商鋪、酒店、寫字樓等);機器設備(可出租的機器設備或可以產生現金流的生產線、成套設備);其他資產(例如非上市交易的股票、債券、長期應收款、長期股權投資、投資性房地產等)。
收益法在整體資產評估中的應用通常是對企業價值進行評估。企業經營的本質是獲得收益。因此收益法與其他評估方法相比更能體現企業存在和運營的本質特征。通常情形下,評估專業人員依據收益口徑的不同,選擇不同的收益法具體方法進行評估,常見的方法有股利折現模型、現金流折現模型、經濟利潤模型、他們分別對應股利、自有現金流量和經濟利潤。對于輕資產類型的企業價值評估,收益法通常占據極為重要的地位,與傳統生產線企業相比,輕資產企業所擁有的固定資產、有形資產較少,其獲利來源主要體現在企業財報中大量的無形資產之中,因此,如果采用成本法對其進行評估,則其作為盈利主體而具有的價值可能無法全面體現出來,企業價值或被嚴重低估,在此狀況下,收益法更為合理。用于企業評估的收益額可以有不同的口徑,如凈利潤、凈現金流量(股權自由現金流量)、息前凈利潤、息前凈現金流量(企業自由現金流量)等。整體而言,收益法較適宜于那些形成資產的成本費用與其獲利能力不對稱,成本費用無法或難以準確計算,存在無形資源性資產以及具有收益能力的資產,例如企業價值、無形資產、資源性資產等的價值評估。
(二)收益法評估的局限性
一是對于沒有收益或收益無法用貨幣計量以及風險報酬率無法計算的資產,該方法將無法使用。二是收益法的操作含有較大成分的主觀性,從而使評估結果較難把握。三是收益法的運用也需要一定的市場條件,否則一些數據的選取就會存在困難。
注:文章為作者獨立觀點,不代表資產界立場。
題圖來自 Pexels,基于 CC0 協議
本文由“負險不彬”投稿資產界,并經資產界編輯發布。版權歸原作者所有,未經授權,請勿轉載,謝謝!
原標題: 資產評估學習筆記6:資產評估之收益法概覽

負險不彬 











